решебник.ру - контрольные работы и типовые расчеты высшая математика кузнецов чудесенко
:: Главная страница | Решение задач: высшая математика, эконометрика, ::
Навигация

Решебник.Ру / Кузнецов Л.А. Кратные интегралы. Задача 2

Кузнецов Л.А. Кратные интегралы. Задача 2

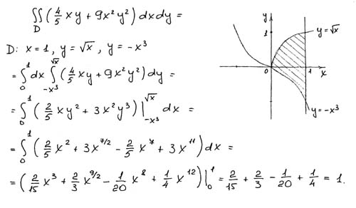
Задача 2. Вычислить.

24,38 Kb

                                                                                                 Следующая задача



:: Рекомендуемая литература. Ремендуем покупать учебную литературу в интернет-магазине Озон

VIP Казань — Казань для достойных людей





:: Статистика


математика

Проверить аттестат доверия
Яндекс цитирования

поставьте нашу кнопочку
у себя на сайте =)


 
Задачники: Демидович Б.П. для втузов, Берман Г.Н., Минорский В.П.
:: Copyright © Решебник.Ru :: Решения Кузнецов ::